理解Dhara的架构和设计

目录

Dhara 是一个针对资源受限的系统设计的用于管理 Nand Flash 的 FTL,本文对它的架构和设计进行 简单介绍。

原项目地址:https://github.com/dlbeer/dhara

1. 功能特点

  • 完美磨损均衡:任意两个块之间的擦除次数差异不超过1次;
  • 支持Trim操作:不再需要的逻辑扇区可移除以提高性能;
  • 数据完整性:逻辑扇区的写和移除具有原子性,意外掉电 发生后可从最后一个已同步状态回滚;
  • 实时性:所有操作包括启动在最坏情况下的时间复杂度为O(log n) (假设坏块符合均匀分布, n 为 Flash 容量)。

2. 整体架构

作为一个log-structured FTL,Dhara 整体架构分层如下:

architecture

逻辑块映射作为FTL的顶层实现了对Nand Flash物理扇区读写 的抽象,使其可以按逻辑扇区的方式读写;此外,该层还通过 下层的日志结构机制实现坏块恢复和垃圾回收功能。

日志结构实现一个常驻Flash的队列,包含入队和出队两种基本 操作。入队时将页数据加上固定大小的标签(元数据)添加到队头; 出队时将页数据从队尾移除。

Nand 抽象层提供Flash操作相关接口,如读/写/擦除/页复制等。

3. 基本原理

3.1 Functional Radix Tree

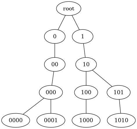
将物理页号和逻辑扇区关联起来,考虑使用每层最多两个分支的 functional基数树,逻辑扇区地址位数为4,记录4个逻辑扇区0000, 0001,1000和1010的树如下所示:

tree

假设需要更新键1010对应的值,需要新增与从根到叶对应的新节点, 其中所有的非叶节点,如果其对应的旧节点分支路径非空,则重复 使用该分支路径,如下图所示:

newtree

图中使用*标记的节点无法通过新的根节点到达,为待回收的垃圾。

3.2 Alt-pointer 队列

Dhara 实际使用alt-pointer队列来存储以上的基数树,考虑逻辑 扇区地址位数为4,树的深度H为4的情况,每增加一个逻辑扇区, 需要存储以下数据:

  • {s0, s1, s2, …, s(H - 1)}: bit数组,表述逻辑扇区地址;
  • {A0, A1, A2, …, A(H -1)}: alt-pointer数组;
  • 该逻辑扇区存储的数据。

alt-pointer数组中的每一项Ak,要么为空,要么指向与该数组对应 的逻辑扇区地址共享前k bit的最新记录。以前面的基数树为例, 从仅有一条记录开始:

ap1

所有的alt-pointer均为空,因为此时还未有其他记录。现在增加 一条与逻辑扇区0000对应的记录:

ap2

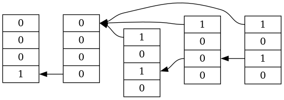
新记录仅有一个非空的alt-pointer,指向前一条记录,两条记录 的逻辑扇区地址具有3个bit的共同前缀。同理,增加记录1010和1000, 注意第3和第4条记录与第0 bit对应的alt-pointer均指向第2条记录:

ap4

现在需要修改逻辑扇区1010的内容,添加一条新纪录:

ap5

现在与逻辑扇区1010对应的记录有两条,但仅有最右边的记录是有效的。 有效记录的查找方法如下:

  • 从最右边(即最新)的记录开始
  • for i = 0, 1, …, H - 1:
    • 如果当前记录为空:
      • 返回记录未找到(NOT-FOUND)
    • 如果目标扇区地址第i bit与当前记录的扇区地址第i bit 不同:
      • 跟随alt-pointer i,取它所指向的记录作为新的当前记录
  • 返回当前记录

更新记录的方法类似与查找,在查找的过程中逐渐构建一个alt-pointer 数组A[H]:

  • 从最右边(即最新)的记录开始
  • for i = 0, 1, …, H - 1:
    • 如果当前记录为空:
      • 将数组A[H]中所有的元素置为空
      • 结束
    • 如果待更新目标记录的bit i 与当前记录的bit i不同:
      • 将A[i]设置为当前记录的页号
      • 跟随alt-pointer i,取它所指向的记录作为新的当前记录
    • 否则:
      • 将A[i]设置为当前记录的第i个alt-pointer

3.3 数据在Flash中的存储

假设某个Flash每个块有16个页,存储元数据(metadata)的页 为检查点(check point),3个存放逻辑扇区数据的页和1个检查点 构成一个检查组,则该Flash 块存放数据的形式如下:

block

其中data为用户数据,cp为前3个页的检查点metadata。

Dhara 使用一个循环队列来管理Flash中所有的页,更新逻辑扇区数据, 垃圾回收,坏块恢复等需要更新记录的操作会使队头或队尾指针移动。 在日志中添加记录时,只有完整写完一个检查组才认为记录已同步, 能够在经过掉电之后恢复。

检查点的数据组织形式如下:

cp

cookie 记录在写该检查点时,FTL已保存的有效扇区数;

meta1, meta2, … metaN 是该检查点所在检查组数据页 对应的metadata,检查组包含4个页时,N为3。

检查点头部header内容如下:

cpheader

  • “Dha"是用于识别检查点头部的魔法数;
  • epoch:记录循环队列形式的日志,队头指针经过Flash最后一个页 并回到开头的次数;
  • tail:队尾所指向的页;
  • bb_current:队头前方的坏快数量;
  • bb_last:队头后方预计有多少个坏块。

Dhara映射结构中每个逻辑扇区对应Flash上的一个页,与数据页 对应的metadata记录逻辑扇区id和alt-pointer数组, 假设逻辑扇区地址位数占32位, 则检查点中每个metadata保存 4字节的id和32个alt-pointer,总共占132字节,形式如下:

meta

3.4 垃圾回收

通过以上所述的alt-pointer队列,Dhara实现了日志结构,在 更新逻辑扇区数据时执行入队操作,在移除不再需要的记录 时执行出队操作以释放空间。

考虑状态如下所示的日志:

journal1

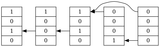
注意到最左侧即队尾的记录0001,按照在日志中查找记录0001 的流程,可在队首查找到一条更新的记录,队尾的0001为垃圾。

日志结构有这样的规律:在队尾的记录,如果它不是最新的记录, 那么它可以出队移除。

最左侧的0001出队之后,日志如下:

journal2

注意到记录0001也存在重复,但无效的记录不位于队尾。此时 可以执行一系列repack操作,取无效记录左侧的记录执行入队 操作,使左侧的记录也成为无效记录,如下:

journal3

此时位于左侧的记录0000和0001均为无效记录,依次执行出队 操作后最新的记录不再包含垃圾:

journal4

journal5

垃圾回收方法总结如下:

  • 初始化S为日志最左侧记录的逻辑扇区地址
  • 查找有效记录S得到它在日志中的位置,记为P
  • 如果P在队列最左侧:
    • 重写S
  • 最左侧记录出队

重复以上执行以上步骤足够多次后日志中所有的垃圾均可移除。

3.5 避免日志溢出

日志所能存放的最大记录数量,记为Cj,选择一个整数R >= 1, 称为GC速率(collection ratio),规定日志所能存放最多有 效记录数(即FTL能够管理的逻辑扇区数)如下:

Cm = Cj * R / (R + 1)

在日志操作过程中同时对有效记录数进行计数,确保有效记录数 始终不超过Cm。将日志当前长度记为Sj,当前有效记录数记为Sm, 每次写日志前,对比Sj和Sm,如果Sj >= Sm,则执行R次垃圾回收。

3.6 同步

日志每若干次入队操作后会周期性达到同步;在逻辑映射层提供了 立即同步的方法,需要同步时,可重复执行垃圾回收操作直到同步点。 如果日志中没有记录,在队头填充若干记录直到同步点。

3.7 坏块恢复

在日志执行入队操作时,如果出现坏块,需要进行恢复操作。 坏块恢复操作如下:对于坏块中所有已写记录,如果该记录 不是最新的,直接跳过,否则将其复制到队头的新块。坏块 中所有的有效记录完成移动后,如果还未达到同步点,在队头 填充记录到同步点。

3.8 无效记录移除

要从基数树中删除某个逻辑扇区对应的节点,查找该节点, 找到第一个符合这样条件的节点N:它包含一颗子树,该子树 仅包含指向待删除扇区的节点,符合该条件的节点N称为“delete-root”。 要删除目标逻辑扇区,执行此操作:重写一条包含delete-root 的新记录,这条新记录属于另外一个逻辑扇区,delete-root对应的 alt-pointer为空。

4. 参考